Virus Corona

Data Covid-19 Indonesia per 4 Februari 2021: Total 1,12 Juta Kasus, 700 Ribu Orang Sudah Divaksin

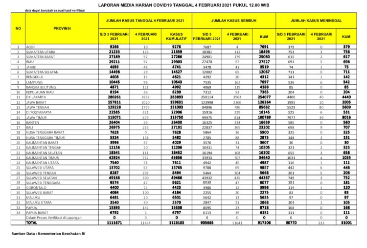
Update terbaru menyebut, kasus telah mencapai angka 1.123.105 kasus per Kamis pukul 14.00 WIB.

Penulis: Bima Saputra Lotunani | Editor: Sugi Hartono
Handover
Berikut update Covid-19 di Sulawesi Tenggara ( Sultra), Jumat (20/11/2020) pukul 17.00 wita. 

Menurut update per Kamis siang WIB, penambahan kasus pada hari ini dicatat oleh 33 provinsi.

Termasuk di antaranya ialah DKI Jakarta dengan 3.632 kasus baru dan Jawa Barat dengan 2.020 kasus baru.

Sementara, Sulawesi Tenggara mencatat 47 kasus baru yang menambah jumlah kasus menjadi 9.621 orang.

Adapun Kemenkes memaparkan, satu-satunya wilayah yang tidak melaporkan penambahan kasus baru ialah Nusa Tenggara Barat.

Sehingga sampai dengan hari ini, jumlah kasus di NTB tetap 7.628 orang.

Simak data setiap provinsi selengkapnya berikut ini

Data Covid-19 di setiap provinsi per Kamis (4/2/2021)
Data Covid-19 di setiap provinsi per Kamis (4/2/2021) (Kemenkes via BNPB)

Penanganan Covid-19: Presiden Jokowi Dorong Pendekatan Berbasis Mikro hingga Standarisasi Masker

Data Vaksinasi

Satuan Tugas Penanganan Covid-19 juga menampilkan data vaksinasi Covid-19.

Diketahui, pemerintah menargetkan total sasaran vaksinasi sebanyak 181,5 juta orang.

Dari keseluruhan jumlah tersebut, sebanyak 1,56 juta di antaranya berasal dari kalangan tenaga kesehatan.

Menurut data per Kamis pukul 14.00 WIB, jumlah penerima vaksinasi tahap pertama ialah sebanyak 700.266 orang.

Sedangkan jumlah penerima vaksinasi tahap kedua atau dosis kedua tercatat sebanyak 96.553 orang.

(TribunnewsSultra.com/Clarissa)

Halaman 2 dari 2
Rekomendasi untuk Anda

Ikuti kami di

Berita Terkini

© 2025 TRIBUNnews.com Network,a subsidiary of KG Media.
All Right Reserved