Virus Corona

Data Covid-19 di Indonesia 7 Februari 2021: Total 1,157 Juta Kasus, Vaksinasi Capai 784 Ribu Orang

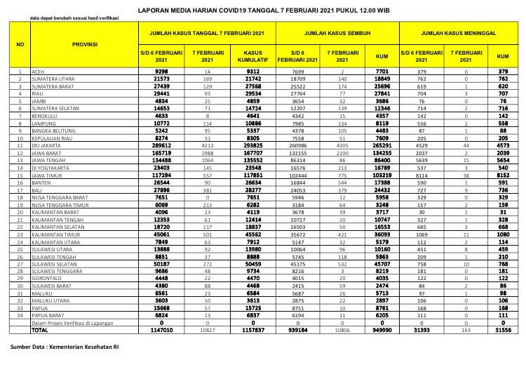
Terdapat 10.827 temuan kasus baru dalam 24 jam terakhir, per Minggu (7/2/2021).

Penulis: Bima Saputra Lotunani | Editor: Sugi Hartono
Grafis Tribunnews.com/Ananda Bayu S
Ilustrasi Update Covid-19 

TRIBUNNEWSSULTRA.COM - Kasus virus corona atau Covid-19 di Indonesia kembali bertambah.

Mengutip dari data Kementerian Kesehatan per Minggu (7/2/2021), terdapat 10.827 temuan kasus baru dalam 24 jam terakhir.

Temuan ini menambah jumlah kasus menjadi 1.157.837 orang, secara kumulatif.

Lebih lanjut, Kemenkes memaparkan bahwa penambahan kasus pada hari ini dicatat oleh 33 provinsi.

Termasuk di antaranya ialah DKI Jakarta dengan 4.213 kasus dan Sulawesi Tenggara dengan 48 kasus.

Sementara, Nusa Tenggara Barat tercatat sebagai wilayah dengan nol kasus harian, per Minggu siang.

Data Covid-19 di setiap provinsi per Minggu (7/2/2021).
Data Covid-19 di setiap provinsi per Minggu (7/2/2021). (Kemenkes)

Kaleidoskop Pandemi Covid-19 di Indonesia: dari Temuan Kasus Pertama hingga Dimulainya Vaksinasi

Wapres Maruf Amin Sebut Vaksinasi Covid-19 Hukumnya Wajib Kifayah

Rincian kasus

Selain penambahan kasus konfirmasi positif, Kemenkes juga melaporkan adanya peningkatan jumlah pasien sembuh dan meninggal.

Disampaikan, sebanyak 10.806 pasien dinyatakan sembuh dalam kurun waktu satu hari.

Sehingga, saat ini jumlah pasien virus corona yang telah sembuh menjadi 949.990 orang.

Di sisi lain, kasus kematian akibat Covid-19 bertambah 163 jiwa menjadi 31.556.

Dari rincian tersebut, ditemukan bahwa masiha da 176.291 orang yang menjalani perawatan atau tercatat sebagai kasus aktif.

Adapun Kemenkes juga memaparkan bahwa terdapat 76.029 kasus yang dinyatakan sebagai suspek.

Sementara itu, jumlah spesimen harian yang diperiksa per Minggu siang ialah sebanyak 41.526.

Tingkatkan Fasilitas Penunjang Pariwisata, Menparekraf Sandiaga Uno Bentuk Satgas Toilet

Kisah Desi Larassati, Wanita asal Tegal yang Beprofesi sebagai Sopir Truk dan Sinden

Data vaksinasi

Halaman 1 dari 2
Rekomendasi untuk Anda

Ikuti kami di

Berita Terkini

© 2025 TRIBUNnews.com Network,a subsidiary of KG Media.
All Right Reserved