Virus Corona

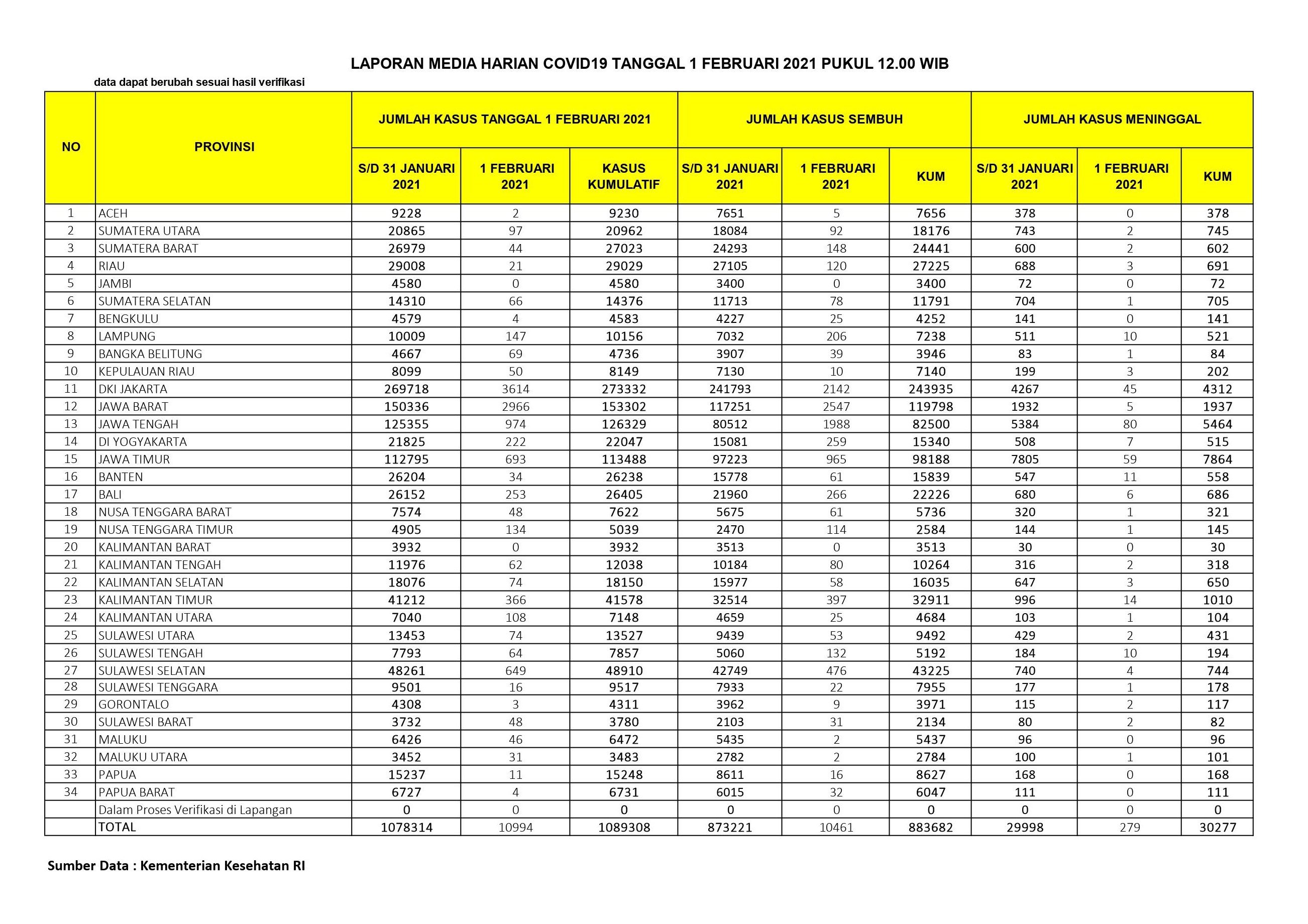
Data Covid-19 di Indonesia 1 Februari 2021: Tercatat 10.994 Kasus Baru, Total 175.349 Kasus Aktif

Kasus virus corona di Indonesia kembali mengalami peningkatan pada Senin (1/2/2021).

Penulis: Bima Saputra Lotunani | Editor: Sugi Hartono
Grafis Tribunnews.com/Ananda Bayu S
Ilustrasi Update Covid-19 

- kasus kematian harian: 279

- total kasus meninggal: 30.277

- kasus aktif: 175.349

Baca juga: Jokowi Klaim Pandemi Covid-19 Terkendali, IDI: Saya Tidak Paham Pak Presiden Menyatakan Begitu

Data Vaksinasi

Selain merilis data jumlah kasus konfirmasi positif, Satgas Penanganan Covid-19 juga memaparkan data vaksinasi Covid-19.

Dilaporkan, per 1 Februari 2021, sebanyak 539.532 orang telah menjalani vaksiansi tahap pertama.

Sementara, vaksinasi tahap kedua atau dosis kedua telah diterima oleh 35.406 orang.

Pemerintah menyebutkan, jumlah sasaran vaksinasi untuk kategori tenaga kesehatan atau sumber daya manusia kesehatan (SDMK) ialah sebanyak 1.531.072 orang.

Sedangkan secara nasional, pemerintah menargetkan total sasaran vaksinasi ialah 181.554.465 orang.

Infografik data Covid-19 di Indonesia
Infografik data Covid-19 di Indonesia (Twitter BNPB)

Sebaran data Covid-19

Telah diketahui, kasus virus corona tersebar di 34 provinsi.

Dari keseluruhan provinsi di Tanah Air, DKI Jakarta tercatat sebagai wilayah dengan jumlah kasus tertinggi, yakni sebanyak 273.332 orang.

Berikutnya disusul Jawa Barat dengan 153.302 orang dan Jawa Tengah dengan 126.302 orang.

Sementara, Provinsi Sulawesi Tenggara dilaporkan mencatat total 9.517 kasus.

*) catatan redaksi: data dikutip dari laporan harian Kementerian Kesehatan

Data Covid-19 di setiap provinsi
Data Covid-19 di setiap provinsi (Kemenkes via Twitter BNPB)

(TribunnewsSultra.com/Clarissa)

Halaman 2 dari 2
Rekomendasi untuk Anda

Ikuti kami di

Berita Terkini

© 2025 TRIBUNnews.com Network,a subsidiary of KG Media.
All Right Reserved