Virus Corona
Update Covid-19 per 21 Januari 2021: Catat 11.703 Kasus Baru, Total Kasus Capai 951.651
Menurut data yang dirilis Satuan Tugas Penanganan Covid-19, sebanyak 11.703 kasus baru terkonfirmasi positif dalam 24 jam terakhir.
Tayang:
Penulis: Bima Saputra Lotunani | Editor: Sugi Hartono
:quality(30):format(webp):focal(0.5x0.5:0.5x0.5)/sultra/foto/bank/originals/ilustrasi-update-covid-19-virus-corona.jpg)
Grafis Tribunnews.com/Ananda Bayu S
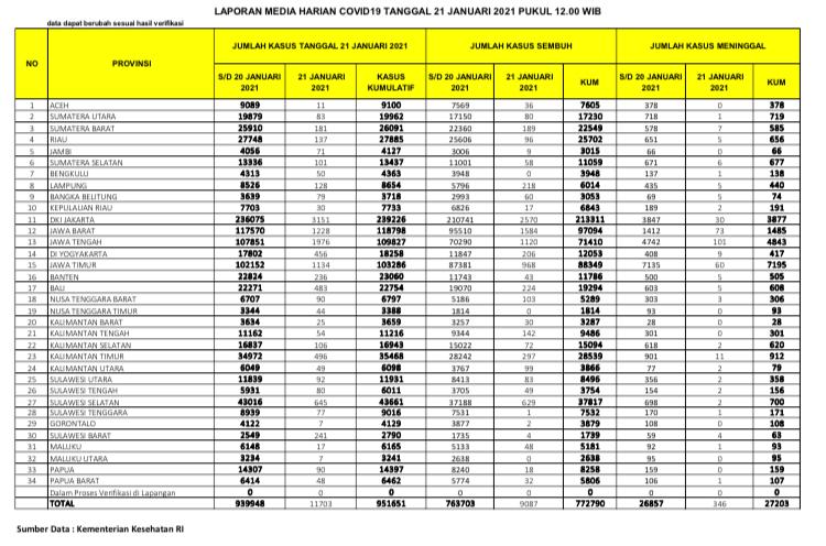
Kasus virus corona telah menyebar di 510 kota/kabupaten di 34 provinsi.
Sampai dengan Kamis siang, DKI Jakarta tercatat memiliki kasus kumulatif tertinggi yakni 239.226 orang.
Selanjutnya ada Jawa Barat dengan 118.798 kasus dan Jawa Tengah dengan 109.827 kasus.
Simak data sebaran kasus virus corona di setiap provinsi pada tabel berikut.
Data kasus Covid-19 juga dapat diakses melalui laman Dinas Kesehatan maupun Satgas Penanganan Covid-19 masing-masing daerah.
(TribunnewsSultra.com/Clarissa)